2023年新课标II卷数学试题及答案解析(最新试卷答案解析)
创始人
2025-02-18 14:08:40
0

试卷说明

全国甲卷适用地区:广西、贵州、四川、西藏

全国乙卷适用地区:河南、江西、甘肃、青海、内蒙古、宁夏、新疆、陕西

新课标Ⅰ卷适用地区:山东、福建、湖北、江苏、广东、湖南、河北、浙江

新课标Ⅱ卷适用地区:海南、辽宁、重庆、黑龙江、安徽、山西、吉林、云南

自主命题:北京、天津、上海

 

2023年新课标I卷高考数学试题及答案解析汇总

数学答案,仅供参考:

2023年高考试题答案(新高考二卷)

2023年新课标II卷数学试题及答案解析(最新试卷答案解析)
2023年新课标II卷数学试题及答案解析(最新试卷答案解析)
2023年新课标II卷数学试题及答案解析(最新试卷答案解析)
2023年新课标II卷数学试题及答案解析(最新试卷答案解析)
2023年新课标II卷数学试题及答案解析(最新试卷答案解析)
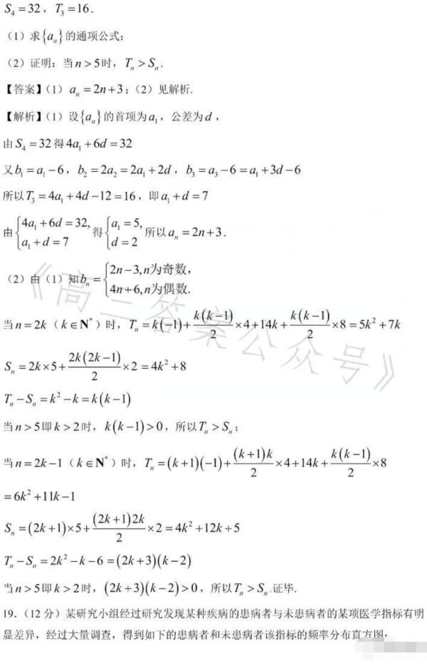
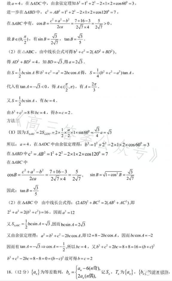
2023年新课标II卷数学试题及答案解析(最新试卷答案解析)
2023年新课标II卷数学试题及答案解析(最新试卷答案解析)
2023年新课标II卷数学试题及答案解析(最新试卷答案解析)
2023年新课标II卷数学试题及答案解析(最新试卷答案解析)
2023年新课标II卷数学试题及答案解析(最新试卷答案解析)
2023年新课标II卷数学试题及答案解析(最新试卷答案解析)
2023年新课标II卷数学试题及答案解析(最新试卷答案解析)
2023年新课标II卷数学试题及答案解析(最新试卷答案解析)
2023年新课标II卷数学试题及答案解析(最新试卷答案解析)
2023年新课标II卷数学试题及答案解析(最新试卷答案解析)

2023年新课标II卷数学试题及答案解析(最新试卷答案解析)

相关内容

热门资讯